User Tools


projects:3dcats:wp200_2d_clouds

Retrieval of NO2 for clearsky pixels in vicinity of clouds

In order to understand the effect of cloud shadowing and scattering into clear regions, we follow the setup presented by Sihler et al. (Poster, EGU 2014) .

Schematic of cloud setup from Sihler 2014.

Base case settings

Clear sky settings as in intercomparison between LIDORT and MYSTIC.

Cloud settings:

  • cloud base at 2 km altitude
  • cloud droplet effective radius 10µm
  • optical properties from Mie calculations
  • cloud top height: 3km
  • cloud optical thickness: 10
  • cloud geometric height: 1km

Other settings for base case:

  • nadir observation geometry
  • 1x1km² square field-of-view
  • solar zenith angle: 50°
  • surface albedo: 0.05
  • midlatitude-summer atmosphere
  • aerosol optical thickness: 0
  • NO2 number density profile: Pacific polluted

Test calculation for wavelengths of 360nm, 440nm and 870nm

Modelled reflectance using MYSTIC.

Modelled reflectance using MYSTIC. The left plot is for enhancement (brightning) due to cloud scattering into the clear region, the right plot shows the cloud shadow. The figure can qualitatively be compared to Sihler et al. 2014. The values are not exactly the same, because we used cloud optical properties based on Mie simulations rather than the simplified Heney-Greenstein phase function.

Simulated spectra (VIS, O2A) for distances up to 10km away from cloud edge

Modelled reflectance spectra using MYSTIC.

Modelled reflectance spectra using MYSTIC.

Simulated reflectance spectra. The red and black lines are for pixels above the cloud, green and blue lines are in the clear region. The green line corresponds to a pixel ranging from 1-2km distance from the cloud edge. The blue line is for the pixel ranging from 9-10km distance. In order to investigate the sensitivity w.r.t. various parameters, we will look in the following part at the closer pixel (1-2km distance, green line).

MYSTIC Results:

Spectra for base case (various distances from cloud egde) for Pacific polluted NO2 profile.

Spectra for base case (various distances from cloud egde) for European polluted NO2 profile.

Sensitivity study for retrieval offset by clouds outside FOV

All following reflectances are calculated for a pixel ranging from 1-2km distance from the cloud edge. The figures show the reflectance values for the first wavelengths of the spectra, i.e. 400nm and 755nm. The red lines show the pixel on the brightening side of the cloud edge and the blue lines the pixel in the cloud shadow.

Solar zenith angle and surface albedo

Modelled reflectance spectra using MYSTIC.

Cloud optical thickness and cloud geometrical thickness

Modelled reflectance spectra using MYSTIC.

MYSTIC Results:

Spectra for cloud outside FOV for Pacific polluted NO2 profile (1-2km distance from cloud egde).

Spectra for cloud outside FOV for European pollued NO2 profile (1-2km distance from cloud egde).

Investigation of retrieval error

Simulation for box cloud including layer-AMFs

Presentation PM6

Presentation PM7

Simulation from 20 April 2020

Settings:

  • absorption optical thickness from Huan (US standard atmosphere, European polluted NO2 profile only tropospheric part)
  • distance extended to 15km away from cloud edge (to cover the cloud shadowing regions)
  • box-AMF and vertical altitude grid in output files
  • including CBH = 2km / 5km / 10km
  • Mie phase function used for all liquid water clouds (low altitude)
  • Baum V3.6 optical properties for all ice clouds (high altitude)
  • number of photons 1e5 (clear sky simulations more accurate with 10^6 photons, Simulations for box cloud.
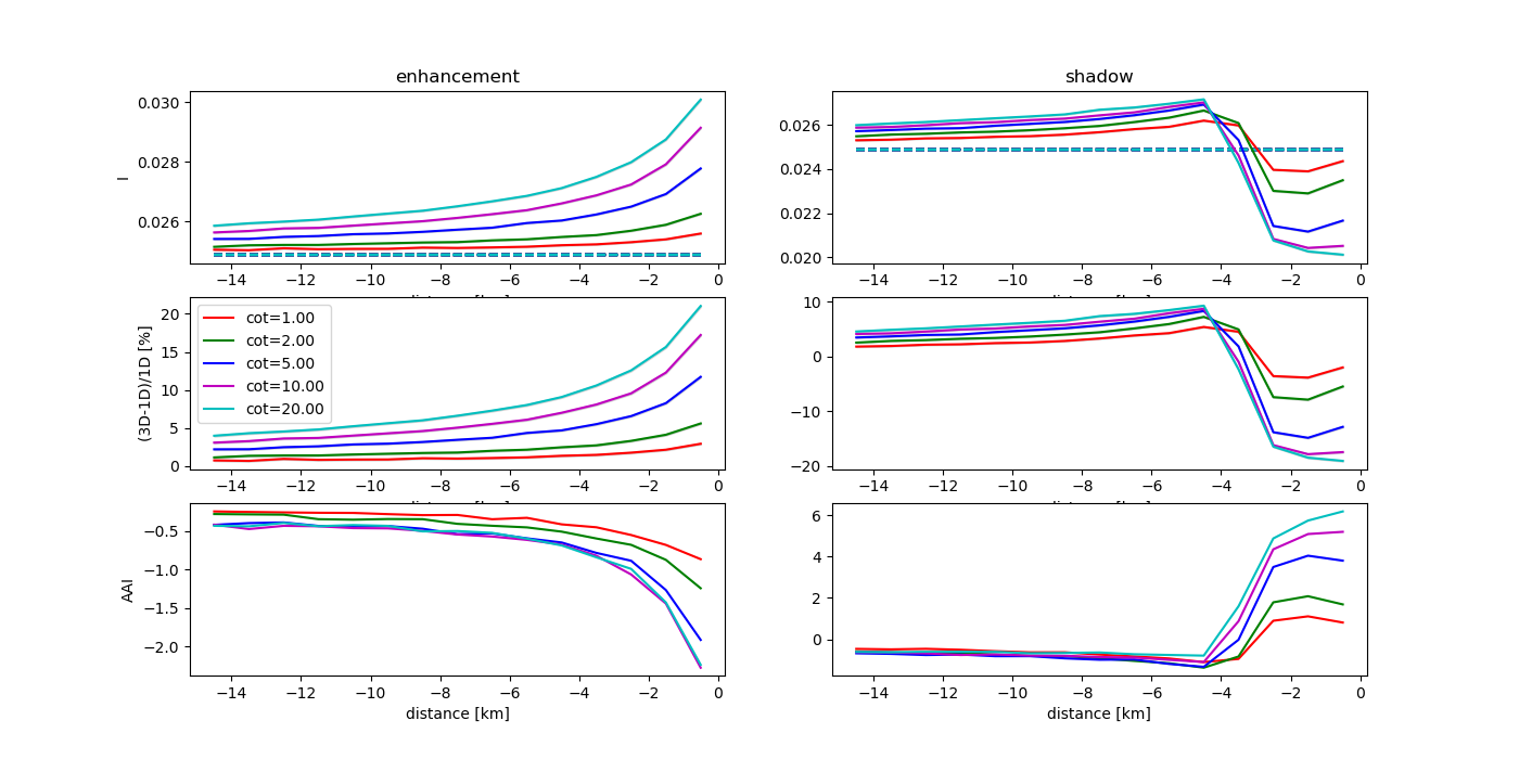
* AAI = 100 * (log(R340/R380)-log(R340/R380)_clear)

Sensitivity on solar zenith angle

Radiance at 460~nm as a function of distance from cloud edge.


Layer-AMF at 460~nm in the pixel next to the cloud and 14-15~km away from cloud.


Layer-AMF at 460~nm in cloudy part.

Sensitivity on surface albedo

Radiance at 460~nm as a function of distance from cloud edge.


Layer-AMF at 460~nm in the pixel next to the cloud and 14-15~km away from cloud.


Layer-AMF at 460~nm in cloudy part.

Sensitivity on cloud optical thickness

Radiance at 460~nm as a function of distance from cloud edge.


Layer-AMF at 460~nm in the pixel next to the cloud and 14-15~km away from cloud.


Layer-AMF at 460~nm in cloudy part.

Sensitivity on cloud geometrical thickness

Radiance at 460~nm as a function of distance from cloud edge.


Layer-AMF at 460~nm in the pixel next to the cloud and 14-15~km away from cloud.


Layer-AMF at 460~nm in cloudy part.

Sensitivity on cloud bottom height

Radiance at 460~nm as a function of distance from cloud edge.


Layer-AMF at 460~nm in the pixel next to the cloud and 14-15~km away from cloud.


Layer-AMF at 460~nm in cloudy part.
projects/3dcats/wp200_2d_clouds.txt · Last modified: 2020/07/21 22:18 (external edit)