projects:3dcats:wp200_realistic_clouds_leo_extvis

Simulations for Low Earth Orbit (LEO)

General settings:
  • Wavelength range: 310-500nm (0.2nm resolution)
  • Layer AMF calculated at 460nm
  • NO2 profile “European polluted”
  • Absorption: O4 Thalman, O3 Serdyuchenko, NO2 Vadaele
  • clouds from ICON simulation (wc mie, ic baum_v36 ghm)

Results for case 0

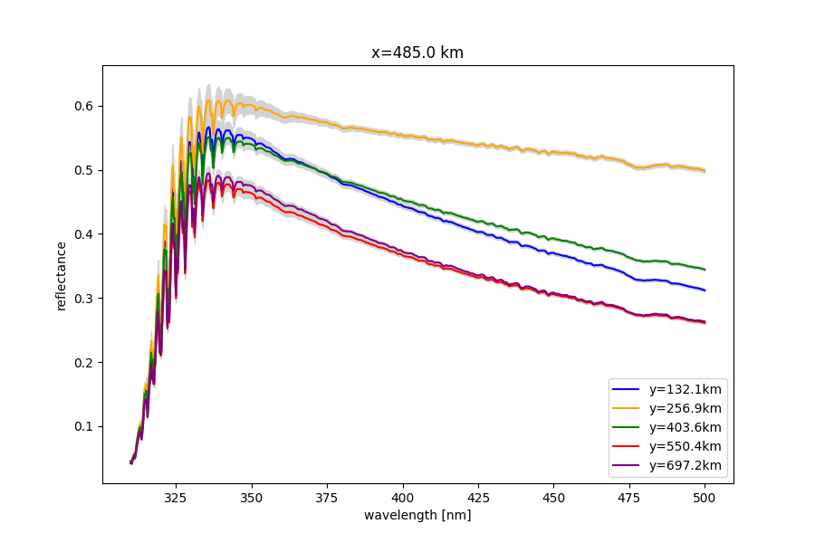
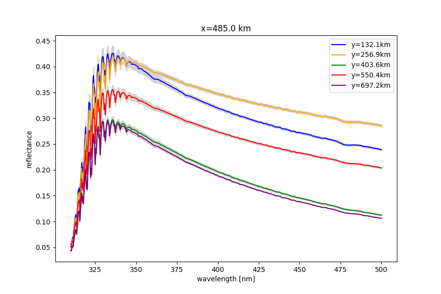
Settings: albedo 0.05 sza 20 saa 13 vza 0 vaa 109.5

Simulated reflectance.
Reflectance spectra.
Layer-AMfs.

MYSTIC results (spectral reflectance and box-AMFs at 460nm)

Results for case 1

Settings: albedo 0.05 sza 20 saa 13 vza 0 vaa 281.7

Simulated reflectance.
Reflectance spectra.
Layer-AMfs.

MYSTIC results (spectral reflectance and box-AMFs at 460nm)

Results for case 2

Settings: albedo 0.05 sza 20 saa 13 vza 20 vaa 109.5

Simulated reflectance.
Reflectance spectra.
Layer-AMfs.

MYSTIC results (spectral reflectance and box-AMFs at 460nm)

Results for case 3

Settings: albedo 0.05 sza 20 saa 13 vza 20 vaa 281.7

Simulated reflectance.
Reflectance spectra.
Layer-AMfs.

MYSTIC results (spectral reflectance and box-AMFs at 460nm)

Results for case 4

Settings: albedo 0.05 sza 20 saa 13 vza 60 vaa 109.5

Simulated reflectance.
Reflectance spectra.
Layer-AMfs.

MYSTIC results (spectral reflectance and box-AMFs at 460nm)

Results for case 5

Settings: albedo 0.05 sza 20 saa 13 vza 60 vaa 281.7

Simulated reflectance.
Reflectance spectra.
Layer-AMfs.

MYSTIC results (spectral reflectance and box-AMFs at 460nm)

Results for case 6

Settings: albedo 0.05 sza 20 saa 353 vza 0 vaa 109.5

Simulated reflectance.
Reflectance spectra.
Layer-AMfs.

MYSTIC results (spectral reflectance and box-AMFs at 460nm)

Results for case 7

Settings: albedo 0.05 sza 20 saa 353 vza 0 vaa 281.7

Simulated reflectance.
Reflectance spectra.
Layer-AMfs.

MYSTIC results (spectral reflectance and box-AMFs at 460nm)

Results for case 8

Settings: albedo 0.05 sza 20 saa 353 vza 20 vaa 109.5

Simulated reflectance.
Reflectance spectra.
Layer-AMfs.

MYSTIC results (spectral reflectance and box-AMFs at 460nm)

Results for case 9

Settings: albedo 0.05 sza 20 saa 353 vza 20 vaa 281.7

Simulated reflectance.
Reflectance spectra.
Layer-AMfs.

MYSTIC results (spectral reflectance and box-AMFs at 460nm)

Results for case 10

Settings: albedo 0.05 sza 20 saa 353 vza 60 vaa 109.5

Simulated reflectance.
Reflectance spectra.
Layer-AMfs.

MYSTIC results (spectral reflectance and box-AMFs at 460nm)

Results for case 11

Settings: albedo 0.05 sza 20 saa 353 vza 60 vaa 281.7

Simulated reflectance.
Reflectance spectra.
Layer-AMfs.

MYSTIC results (spectral reflectance and box-AMFs at 460nm)

Results for case 12

Settings: albedo 0.05 sza 40 saa 13 vza 0 vaa 109.5

Simulated reflectance.
Reflectance spectra.
Layer-AMfs.

MYSTIC results (spectral reflectance and box-AMFs at 460nm)

Results for case 13

Settings: albedo 0.05 sza 40 saa 13 vza 0 vaa 281.7

Simulated reflectance.
Reflectance spectra.
Layer-AMfs.

MYSTIC results (spectral reflectance and box-AMFs at 460nm)

Results for case 14

Settings: albedo 0.05 sza 40 saa 13 vza 20 vaa 109.5

Simulated reflectance.
Reflectance spectra.
Layer-AMfs.

MYSTIC results (spectral reflectance and box-AMFs at 460nm)

Results for case 15

Settings: albedo 0.05 sza 40 saa 13 vza 20 vaa 281.7

Simulated reflectance.
Reflectance spectra.
Layer-AMfs.

MYSTIC results (spectral reflectance and box-AMFs at 460nm)

Results for case 16

Settings: albedo 0.05 sza 40 saa 13 vza 60 vaa 109.5

Simulated reflectance.
Reflectance spectra.
Layer-AMfs.

MYSTIC results (spectral reflectance and box-AMFs at 460nm)

Results for case 17

Settings: albedo 0.05 sza 40 saa 13 vza 60 vaa 281.7

Simulated reflectance.
Reflectance spectra.
Layer-AMfs.

MYSTIC results (spectral reflectance and box-AMFs at 460nm)

Results for case 18

Settings: albedo 0.05 sza 40 saa 353 vza 0 vaa 109.5

Simulated reflectance.
Reflectance spectra.
Layer-AMfs.

MYSTIC results (spectral reflectance and box-AMFs at 460nm)

Results for case 19

Settings: albedo 0.05 sza 40 saa 353 vza 0 vaa 281.7

Simulated reflectance.
Reflectance spectra.
Layer-AMfs.

MYSTIC results (spectral reflectance and box-AMFs at 460nm)

Results for case 20

Settings: albedo 0.05 sza 40 saa 353 vza 20 vaa 109.5

Simulated reflectance.
Reflectance spectra.
Layer-AMfs.

MYSTIC results (spectral reflectance and box-AMFs at 460nm)

Results for case 21

Settings: albedo 0.05 sza 40 saa 353 vza 20 vaa 281.7

Simulated reflectance.
Reflectance spectra.
Layer-AMfs.

MYSTIC results (spectral reflectance and box-AMFs at 460nm)

Results for case 22

Settings: albedo 0.05 sza 40 saa 353 vza 60 vaa 109.5

Simulated reflectance.
Reflectance spectra.
Layer-AMfs.

MYSTIC results (spectral reflectance and box-AMFs at 460nm)

Results for case 23

Settings: albedo 0.05 sza 40 saa 353 vza 60 vaa 281.7

Simulated reflectance.
Reflectance spectra.
Layer-AMfs.

MYSTIC results (spectral reflectance and box-AMFs at 460nm)

Results for case 24

Settings: albedo 0.05 sza 60 saa 13 vza 0 vaa 109.5

Simulated reflectance.
Reflectance spectra.
Layer-AMfs.

MYSTIC results (spectral reflectance and box-AMFs at 460nm)

Results for case 25

Settings: albedo 0.05 sza 60 saa 13 vza 0 vaa 281.7

Simulated reflectance.
Reflectance spectra.
Layer-AMfs.

MYSTIC results (spectral reflectance and box-AMFs at 460nm)

Results for case 26

Settings: albedo 0.05 sza 60 saa 13 vza 20 vaa 109.5

Simulated reflectance.
Reflectance spectra.
Layer-AMfs.

MYSTIC results (spectral reflectance and box-AMFs at 460nm)

Results for case 27

Settings: albedo 0.05 sza 60 saa 13 vza 20 vaa 281.7

Simulated reflectance.
Reflectance spectra.
Layer-AMfs.

MYSTIC results (spectral reflectance and box-AMFs at 460nm)

Results for case 28

Settings: albedo 0.05 sza 60 saa 13 vza 60 vaa 109.5

Simulated reflectance.
Reflectance spectra.
Layer-AMfs.

MYSTIC results (spectral reflectance and box-AMFs at 460nm)

Results for case 29

Settings: albedo 0.05 sza 60 saa 13 vza 60 vaa 281.7

Simulated reflectance.
Reflectance spectra.
Layer-AMfs.

MYSTIC results (spectral reflectance and box-AMFs at 460nm)

Results for case 30

Settings: albedo 0.05 sza 60 saa 353 vza 0 vaa 109.5

Simulated reflectance.
Reflectance spectra.
Layer-AMfs.

MYSTIC results (spectral reflectance and box-AMFs at 460nm)

Results for case 31

Settings: albedo 0.05 sza 60 saa 353 vza 0 vaa 281.7

Simulated reflectance.
Reflectance spectra.
Layer-AMfs.

MYSTIC results (spectral reflectance and box-AMFs at 460nm)

Results for case 32

Settings: albedo 0.05 sza 60 saa 353 vza 20 vaa 109.5

Simulated reflectance.
Reflectance spectra.
Layer-AMfs.

MYSTIC results (spectral reflectance and box-AMFs at 460nm)

Results for case 33

Settings: albedo 0.05 sza 60 saa 353 vza 20 vaa 281.7

Simulated reflectance.
Reflectance spectra.
Layer-AMfs.

MYSTIC results (spectral reflectance and box-AMFs at 460nm)

Results for case 34

Settings: albedo 0.05 sza 60 saa 353 vza 60 vaa 109.5

Simulated reflectance.
Reflectance spectra.
Layer-AMfs.

MYSTIC results (spectral reflectance and box-AMFs at 460nm)

Results for case 35

Settings: albedo 0.05 sza 60 saa 353 vza 60 vaa 281.7

Simulated reflectance.
Reflectance spectra.
Layer-AMfs.

MYSTIC results (spectral reflectance and box-AMFs at 460nm)

Results for case 36

Settings: albedo 0.10 sza 20 saa 13 vza 0 vaa 109.5

Simulated reflectance.
Reflectance spectra.
Layer-AMfs.

MYSTIC results (spectral reflectance and box-AMFs at 460nm)

Results for case 37

Settings: albedo 0.10 sza 20 saa 13 vza 0 vaa 281.7

Simulated reflectance.
Reflectance spectra.
Layer-AMfs.

MYSTIC results (spectral reflectance and box-AMFs at 460nm)

Results for case 38

Settings: albedo 0.10 sza 20 saa 13 vza 20 vaa 109.5

Simulated reflectance.
Reflectance spectra.
Layer-AMfs.

MYSTIC results (spectral reflectance and box-AMFs at 460nm)

Results for case 39

Settings: albedo 0.10 sza 20 saa 13 vza 20 vaa 281.7

Simulated reflectance.
Reflectance spectra.
Layer-AMfs.

MYSTIC results (spectral reflectance and box-AMFs at 460nm)

Results for case 40

Settings: albedo 0.10 sza 20 saa 13 vza 60 vaa 109.5

Simulated reflectance.
Reflectance spectra.
Layer-AMfs.

MYSTIC results (spectral reflectance and box-AMFs at 460nm)

Results for case 41

Settings: albedo 0.10 sza 20 saa 13 vza 60 vaa 281.7

Simulated reflectance.
Reflectance spectra.
Layer-AMfs.

MYSTIC results (spectral reflectance and box-AMFs at 460nm)

Results for case 42

Settings: albedo 0.10 sza 20 saa 353 vza 0 vaa 109.5

Simulated reflectance.
Invalid Link
Reflectance spectra.
Layer-AMfs.

MYSTIC results (spectral reflectance and box-AMFs at 460nm)

Results for case 43

Settings: albedo 0.10 sza 20 saa 353 vza 0 vaa 281.7

Simulated reflectance.
Reflectance spectra.
Layer-AMfs.

MYSTIC results (spectral reflectance and box-AMFs at 460nm)

Results for case 44

Settings: albedo 0.10 sza 20 saa 353 vza 20 vaa 109.5

Simulated reflectance.
Reflectance spectra.
Layer-AMfs.

MYSTIC results (spectral reflectance and box-AMFs at 460nm)

Results for case 45

Settings: albedo 0.10 sza 20 saa 353 vza 20 vaa 281.7

Simulated reflectance.
Reflectance spectra.
Layer-AMfs.

MYSTIC results (spectral reflectance and box-AMFs at 460nm)

Results for case 46

Settings: albedo 0.10 sza 20 saa 353 vza 60 vaa 109.5

Simulated reflectance.
Reflectance spectra.
Layer-AMfs.

MYSTIC results (spectral reflectance and box-AMFs at 460nm)

Results for case 47

Settings: albedo 0.10 sza 20 saa 353 vza 60 vaa 281.7

Simulated reflectance.
Reflectance spectra.
Layer-AMfs.

MYSTIC results (spectral reflectance and box-AMFs at 460nm)

Results for case 48

Settings: albedo 0.10 sza 40 saa 13 vza 0 vaa 109.5

Simulated reflectance.
Reflectance spectra.
Layer-AMfs.

MYSTIC results (spectral reflectance and box-AMFs at 460nm)

Results for case 49

Settings: albedo 0.10 sza 40 saa 13 vza 0 vaa 281.7

Simulated reflectance.
Reflectance spectra.
Layer-AMfs.

MYSTIC results (spectral reflectance and box-AMFs at 460nm)

Results for case 50

Settings: albedo 0.10 sza 40 saa 13 vza 20 vaa 109.5

Simulated reflectance.
Reflectance spectra.
Layer-AMfs.

MYSTIC results (spectral reflectance and box-AMFs at 460nm)

Results for case 51

Settings: albedo 0.10 sza 40 saa 13 vza 20 vaa 281.7

Simulated reflectance.
Reflectance spectra.
Layer-AMfs.

MYSTIC results (spectral reflectance and box-AMFs at 460nm)

Results for case 52

Settings: albedo 0.10 sza 40 saa 13 vza 60 vaa 109.5

Simulated reflectance.
Reflectance spectra.
Layer-AMfs.

MYSTIC results (spectral reflectance and box-AMFs at 460nm)

Results for case 53

Settings: albedo 0.10 sza 40 saa 13 vza 60 vaa 281.7

Simulated reflectance.
Reflectance spectra.
Layer-AMfs.

MYSTIC results (spectral reflectance and box-AMFs at 460nm)

Results for case 54

Settings: albedo 0.10 sza 40 saa 353 vza 0 vaa 109.5

Simulated reflectance.
Reflectance spectra.
Layer-AMfs.

MYSTIC results (spectral reflectance and box-AMFs at 460nm)

Results for case 55

Settings: albedo 0.10 sza 40 saa 353 vza 0 vaa 281.7

Simulated reflectance.
Reflectance spectra.
Layer-AMfs.

MYSTIC results (spectral reflectance and box-AMFs at 460nm)

Results for case 56

Settings: albedo 0.10 sza 40 saa 353 vza 20 vaa 109.5

Simulated reflectance.
Reflectance spectra.
Layer-AMfs.

MYSTIC results (spectral reflectance and box-AMFs at 460nm)

Results for case 57

Settings: albedo 0.10 sza 40 saa 353 vza 20 vaa 281.7

Simulated reflectance.
Reflectance spectra.
Layer-AMfs.

MYSTIC results (spectral reflectance and box-AMFs at 460nm)

Results for case 58

Settings: albedo 0.10 sza 40 saa 353 vza 60 vaa 109.5

Simulated reflectance.
Reflectance spectra.
Layer-AMfs.

MYSTIC results (spectral reflectance and box-AMFs at 460nm)

Results for case 59

Settings: albedo 0.10 sza 40 saa 353 vza 60 vaa 281.7

Simulated reflectance.
Reflectance spectra.
Layer-AMfs.

MYSTIC results (spectral reflectance and box-AMFs at 460nm)

Results for case 60

Settings: albedo 0.10 sza 60 saa 13 vza 0 vaa 109.5

Simulated reflectance.
Reflectance spectra.
Layer-AMfs.

MYSTIC results (spectral reflectance and box-AMFs at 460nm)

Results for case 61

Settings: albedo 0.10 sza 60 saa 13 vza 0 vaa 281.7

Simulated reflectance.
Reflectance spectra.
Layer-AMfs.

MYSTIC results (spectral reflectance and box-AMFs at 460nm)

Results for case 62

Settings: albedo 0.10 sza 60 saa 13 vza 20 vaa 109.5

Simulated reflectance.
Reflectance spectra.
Layer-AMfs.

MYSTIC results (spectral reflectance and box-AMFs at 460nm)

Results for case 63

Settings: albedo 0.10 sza 60 saa 13 vza 20 vaa 281.7

Simulated reflectance.
Reflectance spectra.
Layer-AMfs.

MYSTIC results (spectral reflectance and box-AMFs at 460nm)

Results for case 64

Settings: albedo 0.10 sza 60 saa 13 vza 60 vaa 109.5

Simulated reflectance.
Reflectance spectra.
Layer-AMfs.

MYSTIC results (spectral reflectance and box-AMFs at 460nm)

Results for case 65

Settings: albedo 0.10 sza 60 saa 13 vza 60 vaa 281.7

Simulated reflectance.
Reflectance spectra.
Layer-AMfs.

MYSTIC results (spectral reflectance and box-AMFs at 460nm)

Results for case 66

Settings: albedo 0.10 sza 60 saa 353 vza 0 vaa 109.5

Simulated reflectance.
Reflectance spectra.
Layer-AMfs.

MYSTIC results (spectral reflectance and box-AMFs at 460nm)

Results for case 67

Settings: albedo 0.10 sza 60 saa 353 vza 0 vaa 281.7

Simulated reflectance.
Reflectance spectra.
Layer-AMfs.

MYSTIC results (spectral reflectance and box-AMFs at 460nm)

Results for case 68

Settings: albedo 0.10 sza 60 saa 353 vza 20 vaa 109.5

Simulated reflectance.
Reflectance spectra.
Layer-AMfs.

MYSTIC results (spectral reflectance and box-AMFs at 460nm)

Results for case 69

Settings: albedo 0.10 sza 60 saa 353 vza 20 vaa 281.7

Simulated reflectance.
Reflectance spectra.
Layer-AMfs.

MYSTIC results (spectral reflectance and box-AMFs at 460nm)

Results for case 70

Settings: albedo 0.10 sza 60 saa 353 vza 60 vaa 109.5

Simulated reflectance.
Reflectance spectra.
Layer-AMfs.

MYSTIC results (spectral reflectance and box-AMFs at 460nm)

Results for case 71

Settings: albedo 0.10 sza 60 saa 353 vza 60 vaa 281.7

Simulated reflectance.
Reflectance spectra.
Layer-AMfs.

MYSTIC results (spectral reflectance and box-AMFs at 460nm)

Results for case 72

Settings: albedo 0.20 sza 20 saa 13 vza 0 vaa 109.5

Simulated reflectance.
Reflectance spectra.
Layer-AMfs.

MYSTIC results (spectral reflectance and box-AMFs at 460nm)

Results for case 73

Settings: albedo 0.20 sza 20 saa 13 vza 0 vaa 281.7

Simulated reflectance.
Reflectance spectra.
Layer-AMfs.

MYSTIC results (spectral reflectance and box-AMFs at 460nm)

Results for case 74

Settings: albedo 0.20 sza 20 saa 13 vza 20 vaa 109.5

Simulated reflectance.
Reflectance spectra.
Layer-AMfs.

MYSTIC results (spectral reflectance and box-AMFs at 460nm)

Results for case 75

Settings: albedo 0.20 sza 20 saa 13 vza 20 vaa 281.7

Simulated reflectance.
Reflectance spectra.
Layer-AMfs.

MYSTIC results (spectral reflectance and box-AMFs at 460nm)

Results for case 76

Settings: albedo 0.20 sza 20 saa 13 vza 60 vaa 109.5

Simulated reflectance.
Reflectance spectra.
Layer-AMfs.

MYSTIC results (spectral reflectance and box-AMFs at 460nm)

Results for case 77

Settings: albedo 0.20 sza 20 saa 13 vza 60 vaa 281.7

Simulated reflectance.
Reflectance spectra.
Layer-AMfs.

MYSTIC results (spectral reflectance and box-AMFs at 460nm)

Results for case 78

Settings: albedo 0.20 sza 20 saa 353 vza 0 vaa 109.5

Simulated reflectance.
Reflectance spectra.
Layer-AMfs.

MYSTIC results (spectral reflectance and box-AMFs at 460nm)

Results for case 79

Settings: albedo 0.20 sza 20 saa 353 vza 0 vaa 281.7

Simulated reflectance.
Reflectance spectra.
Layer-AMfs.

MYSTIC results (spectral reflectance and box-AMFs at 460nm)

Results for case 80

Settings: albedo 0.20 sza 20 saa 353 vza 20 vaa 109.5

Simulated reflectance.
Reflectance spectra.
Layer-AMfs.

MYSTIC results (spectral reflectance and box-AMFs at 460nm)

Results for case 81

Settings: albedo 0.20 sza 20 saa 353 vza 20 vaa 281.7

Simulated reflectance.
Reflectance spectra.
Layer-AMfs.

MYSTIC results (spectral reflectance and box-AMFs at 460nm)

Results for case 82

Settings: albedo 0.20 sza 20 saa 353 vza 60 vaa 109.5

Simulated reflectance.
Reflectance spectra.
Layer-AMfs.

MYSTIC results (spectral reflectance and box-AMFs at 460nm)

Results for case 83

Settings: albedo 0.20 sza 20 saa 353 vza 60 vaa 281.7

Simulated reflectance.
Reflectance spectra.
Layer-AMfs.

MYSTIC results (spectral reflectance and box-AMFs at 460nm)

Results for case 84

Settings: albedo 0.20 sza 40 saa 13 vza 0 vaa 109.5

Simulated reflectance.
Reflectance spectra.
Layer-AMfs.

MYSTIC results (spectral reflectance and box-AMFs at 460nm)

Results for case 85

Settings: albedo 0.20 sza 40 saa 13 vza 0 vaa 281.7

Simulated reflectance.
Reflectance spectra.
Layer-AMfs.

MYSTIC results (spectral reflectance and box-AMFs at 460nm)

Results for case 86

Settings: albedo 0.20 sza 40 saa 13 vza 20 vaa 109.5

Simulated reflectance.
Reflectance spectra.
Layer-AMfs.

MYSTIC results (spectral reflectance and box-AMFs at 460nm)

Results for case 87

Settings: albedo 0.20 sza 40 saa 13 vza 20 vaa 281.7

Simulated reflectance.
Reflectance spectra.
Layer-AMfs.

MYSTIC results (spectral reflectance and box-AMFs at 460nm)

Results for case 88

Settings: albedo 0.20 sza 40 saa 13 vza 60 vaa 109.5

Simulated reflectance.
Reflectance spectra.
Layer-AMfs.

MYSTIC results (spectral reflectance and box-AMFs at 460nm)

Results for case 89

Settings: albedo 0.20 sza 40 saa 13 vza 60 vaa 281.7

Simulated reflectance.
Reflectance spectra.
Layer-AMfs.

MYSTIC results (spectral reflectance and box-AMFs at 460nm)

Results for case 90

Settings: albedo 0.20 sza 40 saa 353 vza 0 vaa 109.5

Simulated reflectance.
Reflectance spectra.
Layer-AMfs.

MYSTIC results (spectral reflectance and box-AMFs at 460nm)

Results for case 91

Settings: albedo 0.20 sza 40 saa 353 vza 0 vaa 281.7

Simulated reflectance.
Reflectance spectra.
Layer-AMfs.

MYSTIC results (spectral reflectance and box-AMFs at 460nm)

Results for case 92

Settings: albedo 0.20 sza 40 saa 353 vza 20 vaa 109.5

Simulated reflectance.
Reflectance spectra.
Layer-AMfs.

MYSTIC results (spectral reflectance and box-AMFs at 460nm)

Results for case 93

Settings: albedo 0.20 sza 40 saa 353 vza 20 vaa 281.7

Simulated reflectance.
Reflectance spectra.
Layer-AMfs.

MYSTIC results (spectral reflectance and box-AMFs at 460nm)

Results for case 94

Settings: albedo 0.20 sza 40 saa 353 vza 60 vaa 109.5

Simulated reflectance.
Reflectance spectra.
Layer-AMfs.

MYSTIC results (spectral reflectance and box-AMFs at 460nm)

Results for case 95

Settings: albedo 0.20 sza 40 saa 353 vza 60 vaa 281.7

Simulated reflectance.
Reflectance spectra.
Layer-AMfs.

MYSTIC results (spectral reflectance and box-AMFs at 460nm)

Results for case 96

Settings: albedo 0.20 sza 60 saa 13 vza 0 vaa 109.5

Simulated reflectance.
Reflectance spectra.
Layer-AMfs.

MYSTIC results (spectral reflectance and box-AMFs at 460nm)

Results for case 97

Settings: albedo 0.20 sza 60 saa 13 vza 0 vaa 281.7

Simulated reflectance.
Reflectance spectra.
Layer-AMfs.

MYSTIC results (spectral reflectance and box-AMFs at 460nm)

Results for case 98

Settings: albedo 0.20 sza 60 saa 13 vza 20 vaa 109.5

Simulated reflectance.
Reflectance spectra.
Layer-AMfs.

MYSTIC results (spectral reflectance and box-AMFs at 460nm)

Results for case 99

Settings: albedo 0.20 sza 60 saa 13 vza 20 vaa 281.7

Simulated reflectance.
Reflectance spectra.
Layer-AMfs.

MYSTIC results (spectral reflectance and box-AMFs at 460nm)

Results for case 100

Settings: albedo 0.20 sza 60 saa 13 vza 60 vaa 109.5

Simulated reflectance.
Reflectance spectra.
Layer-AMfs.

MYSTIC results (spectral reflectance and box-AMFs at 460nm)

Results for case 101

Settings: albedo 0.20 sza 60 saa 13 vza 60 vaa 281.7

Simulated reflectance.
Reflectance spectra.
Layer-AMfs.

MYSTIC results (spectral reflectance and box-AMFs at 460nm)

Results for case 102

Settings: albedo 0.20 sza 60 saa 353 vza 0 vaa 109.5

Simulated reflectance.
Reflectance spectra.
Layer-AMfs.

MYSTIC results (spectral reflectance and box-AMFs at 460nm)

Results for case 103

Settings: albedo 0.20 sza 60 saa 353 vza 0 vaa 281.7

Simulated reflectance.
Reflectance spectra.
Layer-AMfs.

MYSTIC results (spectral reflectance and box-AMFs at 460nm)

Results for case 104

Settings: albedo 0.20 sza 60 saa 353 vza 20 vaa 109.5

Simulated reflectance.
Reflectance spectra.
Layer-AMfs.

MYSTIC results (spectral reflectance and box-AMFs at 460nm)

Results for case 105

Settings: albedo 0.20 sza 60 saa 353 vza 20 vaa 281.7

Simulated reflectance.
Reflectance spectra.
Layer-AMfs.

MYSTIC results (spectral reflectance and box-AMFs at 460nm)

Results for case 106

Settings: albedo 0.20 sza 60 saa 353 vza 60 vaa 109.5

Simulated reflectance.
Reflectance spectra.
Layer-AMfs.

MYSTIC results (spectral reflectance and box-AMFs at 460nm)

Results for case 107

Settings: albedo 0.20 sza 60 saa 353 vza 60 vaa 281.7

Simulated reflectance.
Reflectance spectra.
Layer-AMfs.

MYSTIC results (spectral reflectance and box-AMFs at 460nm)

projects/3dcats/wp200_realistic_clouds_leo_extvis.txt · Last modified: 2023/11/16 13:44 (external edit)